“案例下载”页面提供丰富的 COMSOL Multiphysics® 教学案例和 App 演示文件,涉及电气、结构、声学、流体、传热和化工等各个学科领域。欢迎下载这些教学案例或 App 演示文件及其随附的操作说明,将其作为您建模仿真工作的绝佳起点。
您可以使用左侧的【快速搜索】工具查找与您的专业领域相关的案例模型和仿真 App。请注意,此处提供的许多案例也可以通过 COMSOL Multiphysics® 软件内置的“案例库”进行访问,该选项位于软件的文件 菜单中。
中文 带有此标签的案例包含中文 PDF 文档。
本案例模拟了高温质子交换膜燃料电池 (PEMFC) 中,反应物和水的传递,其中考虑了流道、气体扩散层 (GDL) 和多孔电极中的质量和动量传递,以及 GDL、多孔电极和聚合物膜中的电化学电流。 扩展阅读
本例模拟聚合物电解质燃料电池的通道和气体扩散层 (GDL) 中的流动和质量传递。阴极电极反应模拟为边界条件,其中局部电流密度取决于过电位和局部氧浓度。模型中使用分布式微分代数方程来求解沿阴极边界的过电位 ... 扩展阅读
本模型模拟了一种以氨为燃料的固体氧化物燃料电池,其核心在于通过氨的吸热分解反应提供所需的氢气。模型全面耦合了氢气和氧气在扩散电极中的质量平衡与气体流动、流道中的动量平衡、电池整体能量平衡 ... 扩展阅读
在聚合物电解质膜燃料电池 (PEMFC) 中,阴极会产生水。同时,电池通过进气的气流供应水蒸气,以维持聚合物电解质膜的湿润状态。 当气相中水的分压超过蒸汽压时,就会凝结成液态。这种水的凝结可能是由于阴极产生水蒸气 ... 扩展阅读
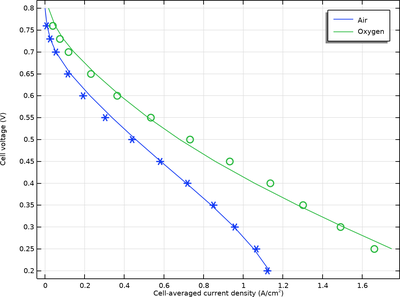
本教程演示如何使用稳态极化数据对聚合物电解质膜燃料电池 (PEMFC) 模型进行参数估计。 模型中定义了一个具有五层膜电极组件 (MEA) 的二维结构,其中包含电子和离子电荷平衡、Butler-Volmer 动力学 ... 扩展阅读
本教程演示如何通过浓溶液理论的传输方程模拟由两种二元盐组成的盐熔体中单个离子的传输,其中定义了一个熔融碳酸盐燃料电池(或电解槽),在一维模型几何中包含一个隔膜、一个负极(氢)和一个正极(氧)多孔电极。 ... 扩展阅读
本模型定义一个零间隙碱性水电解槽,其中氧气和氢气通过放置在一个多孔隔膜(膜片)附近的多孔气体扩散镍毡电极释放。 模型几何定义了电解槽堆的单元池,其中包含两个由波纹双极钢板隔开的完整电解池,沿通道方向延伸 10 ... 扩展阅读
在碱性电解槽堆中,所有电解池单元都共享相同的电解质。由于所有这些单元都处于离子接触状态,寄生分流电流通过歧管和电解质通道(入口和出口侧)在这些电池单元之间流动。 本例模拟了包含 20 个电解池单元的堆中的二次电流分布 ... 扩展阅读
本例演示了“锂离子电池,单离子导体”接口,该接口用于研究带有固体电解质的锂离子电池的放电。几何结构为一维结构,模型为等温状态,其中分析了不同放电电流和固体电解质电导率下的现象。 扩展阅读
