“案例下载”页面提供丰富的 COMSOL Multiphysics® 教学案例和 App 演示文件,涉及电气、结构、声学、流体、传热和化工等各个学科领域。欢迎下载这些教学案例或 App 演示文件及其随附的操作说明,将其作为您建模仿真工作的绝佳起点。
您可以使用左侧的【快速搜索】工具查找与您的专业领域相关的案例模型和仿真 App。请注意,此处提供的许多案例也可以通过 COMSOL Multiphysics® 软件内置的“案例库”进行访问,该选项位于软件的文件 菜单中。
中文 带有此标签的案例包含中文 PDF 文档。
该 App 介绍如何使用 COMSOL 中的“锂离子电池”接口研究经受混合动力车辆驾驶循环的电池单元。 此模型预测电池的性能,以便对监测的属性进行比较,由于模型中包含这些属性后可计算比测量结果更多的结果 ... 扩展阅读
这是一个教程示例,演示如何使用预紧螺栓,并探讨螺栓建模的各个方面: 将螺栓作为实体或通过梁建模 梁与实体部件的连接 螺栓由螺母或连接部件中的内螺纹固定 从“零件库”中导入螺栓和螺母几何 ... 扩展阅读
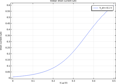
本模型演示如何基于一般的漂移-扩散模型来模拟电解质栅极有机场效应晶体管,其中使用“稳定对流-扩散方程”和“静电”接口,并显示晶体管特性的可视化效果。所模拟器件中 EDL 的形成过程展示了 EGOFET 的关键特性。 扩展阅读
本例通过混凝土墙的声学分析,提出了一种实用且有效的方法来计算建筑构件的声传输损耗 (STL)。只要建筑构件对声源侧的声场几乎没有影响,其中使用的方法就有效。此方法基于这样一个假设:声源侧为理想的扩散场 ... 扩展阅读
同轴电缆 (coax) 是最普遍的传输线结构之一。其中心为圆导体,周围环绕有环形电介质,外部由导体屏蔽。本模型计算了同轴电缆内部的电场和磁场分布,分析了阻抗,并将结果与解析解进行了比较。 扩展阅读
如果模型空间外存在您要近似为等效电路的结构,使用“RF 模块”构建的模型可以连接到等效电路。在此模型中,同轴电缆的三维模型连接到与匹配阻抗串联的电压源,并且可以看到同样具有匹配阻抗的负载。 扩展阅读
本案例研究了热桥中的热传导,热桥由铁棒和隔热层组成,后者用于将内部热表面与外部冷表面隔开。内外侧之间的热通量和外壁上的最高温度与公开值进行了比较。 本例对应于欧洲标准 EN ISO 10211:2007 ... 扩展阅读
设计音乐厅时,考虑共振问题是非常重要的。为了获得清晰而自然的声音,特征频率应均匀分布在寄存器中。对于家庭立体声音响所有者而言,他们无法改变起居室的结构,只能从另一个更实际的角度考虑:扬声器放在哪里才能达到最佳音效? ... 扩展阅读
本例演示如何模拟带部分挡板的湍流搅拌器中的湍流流动,展示了如何在“搅拌器模块”中使用“旋转机械,湍流”接口来设置自由表面和稳态自由表面特征。案例包含冻结转子和瞬态仿真,并对两者结果进行了对比分析。 扩展阅读
