“案例下载”页面提供丰富的 COMSOL Multiphysics® 教学案例和 App 演示文件,涉及电气、结构、声学、流体、传热和化工等各个学科领域。欢迎下载这些教学案例或 App 演示文件及其随附的操作说明,将其作为您建模仿真工作的绝佳起点。
您可以使用左侧的【快速搜索】工具查找与您的专业领域相关的案例模型和仿真 App。请注意,此处提供的许多案例也可以通过 COMSOL Multiphysics® 软件内置的“案例库”进行访问,该选项位于软件的文件 菜单中。
中文 带有此标签的案例包含中文 PDF 文档。
本例阐明如何使用“反应工程”接口在零维中建立和求解级联反应釜模型。 模型分析一连串三个连续釜式反应器。反馈回路不断调节第一个釜的入口浓度,从而保持最后一个器的出口浓度接近预设水平。 扩展阅读
特征频率研究用于确定氧化物限制的、基于砷化镓的垂直腔面发射激光器 (VCSEL) 的谐振频率和阈值增益。 仿真分两步执行,首先执行常规的特征频率分析,以便为随后的非线性特征频率分析确定良好的初始值。 ... 扩展阅读
酿造啤酒的一个重要步骤是发酵过程,在此过程中,糖在酵母的作用下产生酒精和各种不同的风味物质。初始糖含量、温度和酵母类型决定了发酵的方式。 本例使用“反应工程”接口对完全混合槽中的发酵过程建模,此外 ... 扩展阅读
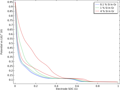
硅 (Si) 是一种具有高容量的材料,因此常被添加到锂离子电池负极的石墨中使用。 由于锂-硅插层反应的平衡电位取决于电极的充放电历史,所以,硅-石墨混合电极可能表现出明显的热力学电压滞后(“路径依赖”)。 ... 扩展阅读
流体阻尼器在军用设备中用于隔震,在土木结构中用于抑制地震引起的震动和风振,还有许多其他应用。流体阻尼器的工作动力是机械能耗散成热能。该模型演示流体阻尼器中的黏性加热现象和随之产生的温度上升 ... 扩展阅读
有时,仅仅使用单一粒度的均质化模型可能无法充分描述在粒度方面具有很大差异的电池电极。 作为添加多个“附加多孔电极材料”实例节点的替代方法,本教学案例演示了如何部署用户定义的“额外维度 ... 扩展阅读
由于实际多孔结构本身的复杂性,模拟其中的流体流动具有一定的困难。 在实际应用中,详细解析流场并不可行。因此,我们采用宏观方法,利用多孔结构的平均量(如孔隙率和渗透率)来进行分析。 本例详细分析孔隙尺度下的流场 ... 扩展阅读
NIST 引入了 GEC 反应器,为不同实验室的放电实验和建模研究提供了一个标准化平台。等离子体通过感应加热来维持。本模型中,该参比池通过电感耦合等离子体来建模。 模型研究氩化学 GEC 参比池的电特性。 扩展阅读
本教学案例研究大气压下干燥空气中的同轴直流电晕放电,模型尺寸和工作条件与采用线-板配置的静电除尘器相似。内线电极的半径为 100 mm,电极之间的间隙为 10 cm。 该模型采用漂移 ... 扩展阅读
