“案例下载”页面提供丰富的 COMSOL Multiphysics® 教学案例和 App 演示文件,涉及电气、结构、声学、流体、传热和化工等各个学科领域。欢迎下载这些教学案例或 App 演示文件及其随附的操作说明,将其作为您建模仿真工作的绝佳起点。
您可以使用左侧的【快速搜索】工具查找与您的专业领域相关的案例模型和仿真 App。请注意,此处提供的许多案例也可以通过 COMSOL Multiphysics® 软件内置的“案例库”进行访问,该选项位于软件的文件 菜单中。
中文 带有此标签的案例包含中文 PDF 文档。
本例以渐近的方式研究导电球对给定背景场的雷达散射截面 (RCS) 响应。选定的物理场接口使用 Stratton-Chu 公式将表面背景场转换为远场。本例将计算结果与众所周知的光学领域中导电球的渐近 RCS 值进行比较。 扩展阅读
此模型建立在光子晶体模型的基础上,对光子晶体的结构进行研究。这种结构具有带隙,因此,只有特定频率范围内的波才能通过轮廓所示的波导几何进行传播。模型通过改变柱的位置,最大限度地提高所需频率下的传输率与寄生频率的传输率之比。 扩展阅读
本教学案例在二维轴对称模型组件中计算偶极天线的远场辐射方向图。然后,我们在单独的三维模型组件中使用远场辐射方向图释放射线,以初始化射线的强度、偏振和相位。 扩展阅读
本教学案例在三维模型组件中计算偶极天线的远场辐射方向图。然后,我们在单独的三维模型组件中使用远场辐射方向图释放射线,以初始化射线的强度、偏振和相位。 扩展阅读
本教学案例演示了一个简单望远镜的结构分析,分析了望远镜结构在重力作用下的变形,并证明了变形对图像质量的影响。 扩展阅读
本例组合使用射线追踪、计算流体力学和拉格朗日粒子追踪对简单的紫外线 (UV) 水净化反应器进行建模。首先,使用“几何光学”接口沿着从紫外灯表面释放的光线累积体积注量率,然后求解反应器中的流体速度。最后 ... 扩展阅读
本教学案例介绍如何基于边界处的入射电场设置射线释放。首先用“电磁波,频域”接口求解平面波的电场。然后射线被释放,其初始强度和偏振与释放边界处电场的强度和偏振相匹配。 扩展阅读
此模型模拟了三端口光子晶体中两个频带的传播。晶体最初是对称的,因此两个频带直接同等地对应于任一输出端口。模型优化了晶柱的位置,以使两个频带到达不同的输出端口。 扩展阅读
石墨烯是一种由碳原子排列成二维六方晶格的材料,自从被大约二十年前的实验发现以来,它引起了人们广泛的研究兴趣,具有广阔的应用前景。除了超薄以外,这种神奇的材料还表现出许多有趣的属性,包括高导电和导热性、高弹性、高机械强度 ... 扩展阅读
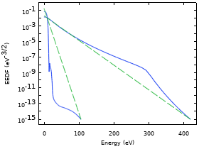
本教学案例通过求解与经典的两项近似法中的均质、瞬态电子玻尔兹曼方程全耦合的等离子体流体类型方程,对直流辉光放电进行建模。针对空间的每个位置求解近似的玻尔兹曼方程,并通过电子平均能量将其与流体类型方程相耦合 ... 扩展阅读
