了解多物理场仿真在基础研究和产品设计中的应用
各个行业的工程师和科研人员都在使用多物理场仿真来研发创新的产品设计和流程。他们在 COMSOL 用户年会上展示了丰富的技术论文和演示文稿,您可以从他们的研究成果中寻找灵感。
使用左侧【快速搜索】工具查找您感兴趣的研究,或按照应用领域进行筛选。
查看 COMSOL 用户年会 2025 论文
虽然吸附式制冷技术在节能与环保方面具有较大的优势,但是因传热传质性能较差导致整个系统的制冷性能较低。吸附床换热器结构是影响吸附床传热传质性能的重要因素。目前,吸附床换热器影响研究很少涉及板翅式矩形管换热器 ... 扩展阅读
掌握工作面动态推进下长壁采空区煤自燃过程的演变规律,是有效遏制井下采空区火灾的关键。采空区煤自热过程涉及到气体与固体煤之间一系列复杂的相互作用,以及煤层开采引起的采空区渗透率的动态演化 ... 扩展阅读
基于声学透镜的声学聚焦技术已经在医学检测及医学治疗中有着广泛应用,特别是在 HIFU 技术中有着重要的地位。虽然近几年声学聚焦技术已经有着很多的成果,但是由于“衍射极限”的问题,聚焦区域有一定的限制 ... 扩展阅读
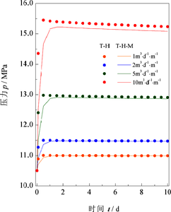
多分支水平井技术广泛应用于油田开发,与常规直井相比,多分支水平井增大了油气藏泄油面积,具有单井产量高、采出程度高和经济效益高等优势。在生产过程中,地层压力衰竭以及井间干扰对油气井产能具有重要影响 ... 扩展阅读
在页岩或致密储层油气开发过程中,水力压裂技术得到了广泛引用。在传统的油藏数值模拟中,裂缝参数如导流能力等一般是给定值,而在低渗致密储层实际开发过程中,受铺砂浓度等影响,压裂裂缝只有部分发挥增产效果,可以称之为有效裂缝。 ... 扩展阅读
注蒸汽热力采油是稠油开发的一种有效方法,它涉及到储层地质、采油工程、传热学、经济分析等多门学科,是一项复杂、技术难度大的系统工程。研究蒸汽吞吐的热力学过程,包括井筒内饱和水蒸汽温度/压力传输、储层内多相流传质传热等 ... 扩展阅读
冻融循环引起的破坏是季节冻土区渠道的主要病害,其发生与温度梯度和水分迁移有密切的联系。为了研究冻融循环作用下土体温度变化与水分分布,多场耦合理论应运而生。但目前存在的多场耦合模型大多采用了过多的参数 ... 扩展阅读
摘要:高温超导磁悬浮利用车载高温超导块材的磁通钉扎特性实现稳定悬浮,自其研发之初就受到广泛关注。车辆在运行过程中,由于非理想永磁轨道表面的不平顺,高温超导块材内部将会产生交流损耗,这直接影响到高温超导磁悬浮系统的稳定性 ... 扩展阅读
油藏在生产过程中,地层中的孔隙压力下降,压力降由井筒开始向外传播,从而导致地应力场的分布发生变化,后期钻新井的最优位置将因此发生改变,所以必须明确生产过程中油藏地应力场的变化规律。 不考虑储层的温度变化 ... 扩展阅读
基于COMSOL的仓储粮堆内部自然对流和热湿传递的模拟研究 王远成 潘钰 尉尧方 鲁子枫 崔宏英 (山东建筑大学热能工程学院, 济南250101) 摘 要 本文基于仓储粮堆内部自然对流、热湿耦合传递的数学模型 ... 扩展阅读
