“案例下载”页面提供丰富的 COMSOL Multiphysics® 教学案例和 App 演示文件,涉及电气、结构、声学、流体、传热和化工等各个学科领域。欢迎下载这些教学案例或 App 演示文件及其随附的操作说明,将其作为您建模仿真工作的绝佳起点。
您可以使用左侧的【快速搜索】工具查找与您的专业领域相关的案例模型和仿真 App。请注意,此处提供的许多案例也可以通过 COMSOL Multiphysics® 软件内置的“案例库”进行访问,该选项位于软件的文件 菜单中。
中文 带有此标签的案例包含中文 PDF 文档。
在本教学案例中,我们使用边界元法 (BEM) 分析小型通用扬声器的声辐射方向图。扬声器位于地板上的小桌上,与墙壁相距一定距离。该模型是使用“声学模块”的“压力声学,边界元”物理场接口建立的, ... 扩展阅读
本模型是一维锂离子电池的基础模板,涵盖物理场、几何及网格设置。 模型中使用四个锂化参数,用于定义负极与正极之间的相对平衡关系,并引入全局电池荷电状态 (SOC) 变量。 此外 ... 扩展阅读
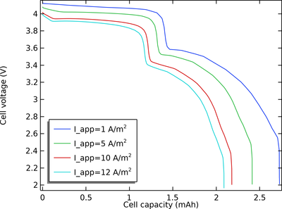
钠离子电池 (SIB) 被广泛视为锂离子电池 (LIB) 的理想替代品。 从化学角度分析,钠离子电池使用钠离子 (Na+) 代替锂离子 (Li+) 进行电解质电荷传输,并在电极反应中充当氧化还原物质。相对于锂离子而言 ... 扩展阅读
本例介绍如何为二元蒸馏过程建立简单模型,建立了“化学反应工程模块”中的热力学属性包,用于研究乙醇和水的非理想混合物的分离。所需的平衡关系是使用热力学特征时可用的平衡计算 功能生成的 ... 扩展阅读
厘米级木材颗粒的热解过程涉及质量传递、流体流动和传热等多物理场的全耦合问题。 这个示例模型由两部分组成。第一部分演示如何建立一个模型来描述多孔各向异性木球的热解过程,其中采用由五种伪物质和五种反应组成的反应方案。 ... 扩展阅读
压电器件广泛用作产生声波的声源或检测声信号的接收器。在超声成像和无损检测等应用中,同一个换能器既可用作发射器发送源信号,也可用作接收器检测回波。 本模型演示了如何使用 COMSOL Multiphysics ... 扩展阅读
这是置于无限挡板中的麦克风(齐平安装)的概念模型,其目的是确定装置的自由场水平校正曲线,包括外部域、麦克风栅格以及栅格和膜片之间的体积。麦克风膜片具有简单的 RCL 阻抗,开放辐射条件采用完美匹配层 (PML) ... 扩展阅读
该模型研究钢钩中的最佳材料分布,钢钩关于 z 平面对称,由线弹性材料结构钢构成,它承受两个分布式边载荷工况:一个位于钩尖处,另一个沿其下部内曲线。几何结构作为几何序列导入。 扩展阅读
支架在生物医学应用中用于支撑静脉和动脉的内壁。由形状记忆合金制成的自膨式支架与球囊膨胀支架的工作原理不同,原因是,自膨式支架在低温下会卷曲为动脉直径大小,在血液将其加热到人体温度时会松开。 此模型演示这种支架的一个示例 ... 扩展阅读
