“案例下载”页面提供丰富的 COMSOL Multiphysics® 教学案例和 App 演示文件,涉及电气、结构、声学、流体、传热和化工等各个学科领域。欢迎下载这些教学案例或 App 演示文件及其随附的操作说明,将其作为您建模仿真工作的绝佳起点。
您可以使用左侧的【快速搜索】工具查找与您的专业领域相关的案例模型和仿真 App。请注意,此处提供的许多案例也可以通过 COMSOL Multiphysics® 软件内置的“案例库”进行访问,该选项位于软件的文件 菜单中。
中文 带有此标签的案例包含中文 PDF 文档。
表面化学反应通常是反应流建模中被忽视的方面。这个教学案例演示如何将表面反应和物质添加到化学气相沉积 (CVD) 这类研究过程中,随后模拟硅在晶片上的生长。 最初,使用全局模型来研究包含复杂化学物质的广泛参数区域。然后 ... 扩展阅读
永磁 (PM) 电机用于许多高端应用,例如电动汽车和混合动力车辆,其中一个重要的设计局限是磁体对高温非常敏感,高温可能由电流(尤其是涡流)导致的热损耗而引发。 本教学案例对 18 极永磁电机进行三维建模 ... 扩展阅读
过电流或过载等电气事件可能会严重损坏电路或电力线。为了避免更换关键零件所产生的高昂费用,可以安装电气开关断路器。一旦达到临界电流,这些断路器就会通过移动活塞,机械地切断(浪涌)电流。如果使用保险丝来保护周围的电气零部件 ... 扩展阅读
过电流或过载等电活动可能会严重损坏电路或输电线。为避免更换关键零件产生的高成本,可以安装电开关断路器,一旦达到临界电流,断路器立即移动柱塞,以机械方式切断电流或电流浪涌。断路器与熔断器完全不同,为了保护周围的电气部件 ... 扩展阅读
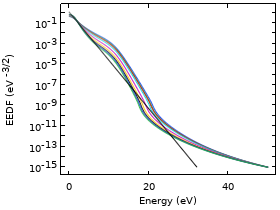
本例使用全局模型来研究中等压力下的氢等离子体反应器,其中包含重物质热方程。在研究的第一部分中,我们使用了麦克斯韦电子能量分布函数;第二部分则采用两项近似的玻尔兹曼方程来自洽地求解全局模型。 扩展阅读
该模型分析电机在不同转速下运行时产生的噪声,分析的电机类型为永磁同步电机 (PMSM),其中转子采用永磁体,并使用通过定子的变频电流产生扭矩。电机运行过程中产生的电磁力不仅在激励频率下产生振动 ... 扩展阅读
