了解多物理场仿真在基础研究和产品设计中的应用
各个行业的工程师和科研人员都在使用多物理场仿真来研发创新的产品设计和流程。他们在 COMSOL 用户年会上展示了丰富的技术论文和演示文稿,您可以从他们的研究成果中寻找灵感。
使用左侧【快速搜索】工具查找您感兴趣的研究,或按照应用领域进行筛选。
查看 COMSOL 用户年会 2025 论文
利用 COMSOL Multiphysics® 软件中流体传热接口、层流接口、化学反应接口对 HVPE 法单晶生长过程进行模拟。建立了基于 HVPE 生长室内部结构的简单二维模型,并进行了标准的网格划分,通过物理场耦合 ... 扩展阅读
摘要 微通道换热器是一种高效换热设备,与普通换热器相比,微型换热器体积小,传热系数高,具有广泛的应用前景。微型换热器的实验研究存在较大的难度,而数值模拟则是深入研究微型换热器的重要方法。本文采用通用商用软件 ... 扩展阅读
硫化氢是天然气中的有害成分,它的存在一方面降低了天然气中烃类气体的百分比例,使然气的工业价值降低,同时它极强的毒性和腐蚀性,威胁着钻探开发的每一个环节,常导致重大的安全事故。由于我国海上油气田资源丰富 ... 扩展阅读
为了提高连续流微波反应器的物料温升以及加热均匀性,设计了一种具有特殊形状管道的连续流动矩形微波反应器。运用COMSOL软件,参考了案例库中微波加热土豆的模型,将CFD模块与RF模块进行耦合计算。使用的材料为空气、水 ... 扩展阅读
在溢流法(Overflow Method)盖板玻璃制造中,原料进入窑炉后高温熔解,而后经由铂金通道做澄清消泡和搅拌的动作,最后进入成型磗溢流而出成板材,下拉退火,切板进入后端制程。业界对盖板玻璃要求愈来愈高,尤其近日 ... 扩展阅读
研究揭示煤层气在煤岩孔裂隙中的渗透流动以及吸附解吸规律对于煤层气资源开采以及瓦斯防治有着重要的意义。借助 COMSOL 软件构建了煤岩孔裂隙双重介质模型,其中孔隙介质部分采用固体力学模块、自由和多孔介质流动模块 ... 扩展阅读
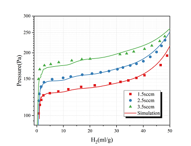
储氢合金的PCT曲线和氢化动力学性能是描述合金储氢性能的重要标准,目前对合金的PCT曲线测试一般采用体积法,对合金氢化反应动力学的研究一般采用等容差压法。但在实际生产过程中 ... 扩展阅读
基于磁流体动力学与Maxwell方程组,建立微束等离子弧焊电弧的二维轴对称模型,应用COMSOL软件进行求解计算,得到了微束等离子弧焊的电弧温度场、流场、电流密度、电弧所受洛伦兹力以及工件表面电弧压力分布情况 ... 扩展阅读
微纳米马达是一种能将周围环境的能量转化为自身自主运动的新型智能仿生材料,其在药物的运输与释放,低维材料的合成以及软物质研究中有着重要的应用[1]。基于自电泳的双金属棒马达是研究时间最长的一类马达 ... 扩展阅读
借助数值模拟技术及煤层气排采经验分析排采过程中流体流动运移规律,能够为煤层气井智能排采提供技术支持。本文以某煤层气井地质与开发工程为基础,借助COMSOL软件构建求解数值模型,实现了煤层气排采动态分析及排采制度优化 ... 扩展阅读
