了解多物理场仿真在基础研究和产品设计中的应用
各个行业的工程师和科研人员都在使用多物理场仿真来研发创新的产品设计和流程。他们在 COMSOL 用户年会上展示了丰富的技术论文和演示文稿,您可以从他们的研究成果中寻找灵感。
使用左侧【快速搜索】工具查找您感兴趣的研究,或按照应用领域进行筛选。
查看 COMSOL 用户年会 2025 论文
Climate change is a short-term problem which can no longer be ignored and affects everything, from global ... 扩展阅读
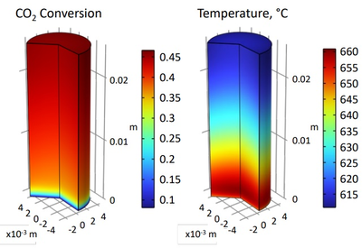
The rise in atmospheric CO2 needs the development of efficient conversion technologies. CO2 reduction ... 扩展阅读
The low-temperature electrochemical conversion of CO₂ to ethylene offers significant potential for reducing ... 扩展阅读
A CO2 direct ocean capture system exploiting bipolar membrane (BPM) electrodialysis, gas-liquid contacter and ... 扩展阅读
光纤拉锥技术是一种广泛应用的光纤后处理手段,通过对光纤形状和光学性能的调整,可以制造各种光纤器件,进而拓展光纤在传感、通信和非线性光学等领域的应用。拉锥过程中,需将光纤加热至二氧化硅的玻璃化转变温度以上 ... 扩展阅读
In our dynamic energy landscape, it is increasingly important to utilize energy efficiently and minimize ... 扩展阅读
In this work, a 2.8x0.22 μm^2 silicon strip waveguide (n = 3.43 @4.234 μm) on a silica substrate (n = 1.38 @4 ... 扩展阅读
Increasing energy demands in society have led to intensive fossil fuel usage, resulting in increasing carbon ... 扩展阅读
The "Power to Gas" technology is a promising alternative for storing renewable electrical energy through ... 扩展阅读
The chemisorption and absorption of CO2 bubbles have been extensively studied and modeled in literature. CO2 ... 扩展阅读
