“案例下载”页面提供丰富的 COMSOL Multiphysics® 教学案例和 App 演示文件,涉及电气、结构、声学、流体、传热和化工等各个学科领域。欢迎下载这些教学案例或 App 演示文件及其随附的操作说明,将其作为您建模仿真工作的绝佳起点。
您可以使用左侧的【快速搜索】工具查找与您的专业领域相关的案例模型和仿真 App。请注意,此处提供的许多案例也可以通过 COMSOL Multiphysics® 软件内置的“案例库”进行访问,该选项位于软件的文件 菜单中。
中文 带有此标签的案例包含中文 PDF 文档。
直线电机在许多需要平移运动的应用领域中使用,其典型的设计特点是精度高或加速度快。在该模型中,我们研究静止零件采用三相绕组,运动零件采用永磁体的同步电机;利用动网格和周期性条件对整个电机的周期部分进行建模。 此外 ... 扩展阅读
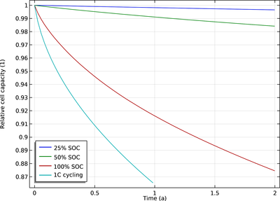
本教学案例使用“黑匣子”方法,基于少量集总参数来定义电池模型,其中假设电池电极的内部结构或设计以及材料选择都未知。 模型的输入为电池容量、初始荷电状态 (SOC)、开路与 SOC 的关系以及负载循环实验数据。 ... 扩展阅读
本模型对扬声器驱动器进行完整的瞬态分析,能够模拟非线性效应,是对“扬声器驱动器”教学模型中线性频域分析的扩展。 分析内容涵盖磁系统中软铁材料的非线性特性、结构的几何非线性效应,以及音圈在磁隙内外移动过程中 ... 扩展阅读
本例介绍如何为动态锥形驱动器扬声器建模,这种扬声器常用于中低频。分析在频域中进行,因此可以表示驱动器的线性特性。模型分析包括额定驱动电压下的总电阻抗和轴上声压级随频率变化的情况,驱动器的空间特性通过方向性图描述。 ... 扩展阅读
This example illustrates a linear buckling analysis conducted for a corrugated conical shell, utilizing a ... 扩展阅读
在分析转子时,我们通常通过轴承的有效动力系数来模拟转子的静态平衡位置。该模型说明了如何计算滑动轴承的这些系数。轴承长度应保持远小于其直径,以验证计算的系数是否与短轴承近似值的相应解析值相匹配。 扩展阅读
Czerny-Turner 单色器在空间上将复色光分成一系列单色光。此模型模拟由球面准直镜、平面衍射光栅、球面成像镜及电荷耦合器件 (CCD) 阵列检测器组成的交叉 Czerny-Turner 构型。模型利用“几何光学 ... 扩展阅读
天线罩通过其设计最大限度地降低了天线的损耗并改善了天线的辐射特性。可以对结构进行优化,使传输损耗降至最低,还可将结构设计用于改善包括天线方向性和旁瓣在内的辐射特性。 模型中显示了贴片天线上的表面电流密度 ... 扩展阅读
