“案例下载”页面提供丰富的 COMSOL Multiphysics® 教学案例和 App 演示文件,涉及电气、结构、声学、流体、传热和化工等各个学科领域。欢迎下载这些教学案例或 App 演示文件及其随附的操作说明,将其作为您建模仿真工作的绝佳起点。
您可以使用左侧的【快速搜索】工具查找与您的专业领域相关的案例模型和仿真 App。请注意,此处提供的许多案例也可以通过 COMSOL Multiphysics® 软件内置的“案例库”进行访问,该选项位于软件的文件 菜单中。
中文 带有此标签的案例包含中文 PDF 文档。
本模型演示如何使用吸收介质中的辐射束 接口来计算半透明材料的加热情况,其中分析了高斯分布激光束如何对硅晶片上沉积的两种不同半透明材料进行加热。 如需了解该模型的更详细描述,请阅读我们的博客文章 ... 扩展阅读
高加速应力试验 (HAST) 是一种在高温高湿环境下加速电子设备故障的测试技术。本模型演示了在 HAST 测试条件下对塑封 IGBT 模块进行的结构分析,研究了热应力、吸湿膨胀以及水分输送等因素。 ... 扩展阅读
本教学案例演示了一个简单望远镜的结构分析,分析了望远镜结构在重力作用下的变形,并证明了变形对图像质量的影响。 扩展阅读
本例模拟电池组的热管理,其中考虑了电池间隙中的空气(自然对流)和相变材料 (PCM) 两种情况。所研究的 PCM 是一种由石蜡和石墨添加剂组成的复合材料,添加石墨的目的通常是为了提高纯石蜡的热导率。 ... 扩展阅读
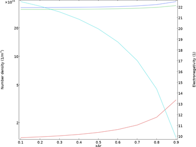
本例使用全局模型研究中等压力条件下的 SF6/氩等离子体反应器,并包含重粒子热方程的求解。通过对输入功率和氩摩尔分数进行参数化扫描,深入分析了反应器的性能变化。 扩展阅读
本模型是一维锂离子电池的基础模板,涵盖物理场、几何及网格设置。 模型中使用四个锂化参数,用于定义负极与正极之间的相对平衡关系,并引入全局电池荷电状态 (SOC) 变量。 此外 ... 扩展阅读
本例使用全局模型来研究中等压力下的氢等离子体反应器,其中包含重物质热方程。在研究的第一部分中,我们使用了麦克斯韦电子能量分布函数;第二部分则采用两项近似的玻尔兹曼方程来自洽地求解全局模型。 扩展阅读
