“案例下载”页面提供丰富的 COMSOL Multiphysics® 教学案例和 App 演示文件,涉及电气、结构、声学、流体、传热和化工等各个学科领域。欢迎下载这些教学案例或 App 演示文件及其随附的操作说明,将其作为您建模仿真工作的绝佳起点。
您可以使用左侧的【快速搜索】工具查找与您的专业领域相关的案例模型和仿真 App。请注意,此处提供的许多案例也可以通过 COMSOL Multiphysics® 软件内置的“案例库”进行访问,该选项位于软件的文件 菜单中。
中文 带有此标签的案例包含中文 PDF 文档。
本例通过移动和缩放几何中的矩形,使用形状优化来设计波导滤波器。在保持双镜对称的同时,通过优化初始几何的虹膜,以确保良好的带通响应和带外抑制。 扩展阅读
该模型演示如何使用形状优化来设计波导滤波器,通过优化初始几何的虹膜,以确保良好的带通响应和带外抑制,同时保持双镜对称。 扩展阅读
本例介绍如何在二维和三维模式下对微波的矩形波导建模。一个中空波导可以传导两种电磁波:横磁波 (TM) 或横电波 (TE)。 模型分析在传播方向上没有电场分量的 TE 波,更具体地说,对于这些模型 ... 扩展阅读
热能储存装置用于收集来自太阳能、地热或废热源的热能。最简单的装置是由水箱建造的,常见于居民户,其中太阳能以显热的形式存储在水箱中。通过包含潜热,可以进一步增加这些储罐的热容量,从而产生潜热存储 (LHS) 装置。通常 ... 扩展阅读
这一系列模型演示了如何对选择性氧化氮还原反应建模,当废气流经机动车辆排气系统中的整体式反应器管道时会发生这一还原反应。仿真目的是确定反应中用作还原剂的反应物 NH3 的最佳剂量。 模型执行了三种不同的分析: ... 扩展阅读
本研究设置旨在揭示通道中湍流的特性如何因相邻多孔区域的存在而发生改变。通过仿真,我们观察到固体壁和流体-多孔界面处的非对称速度分布、较高的湍流水平和较大的摩擦系数。在高渗透率的情况下,无需专门使用校准的经验函数 ... 扩展阅读
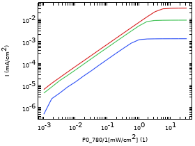
本例演示用于模拟Asahi 等人在参考文献中所述的阱内量子点太阳能电池的近似方法。量子阱和量子点层均被视为带隙中的集总能级,作者指定了点/阱能级与能带之间的跃迁,而电流密度的连续部分则不受阱和点的影响。这一描述等同于 ... 扩展阅读
本教学案例演示如何使用“不确定性量化”(UQ) 功能来解答有关热分解流动反应器的灵敏度和可靠性问题,研究了在食品加工步骤中,哪些参数的不确定性会对营养素(β-胡萝卜素)的活性产生影响。携带营养物的流体被注入反应器 ... 扩展阅读
本例探讨温度变化引起的固有频率变化,其中一个研究分析两端固定的双钳梁,而另一个研究分析只有一端固定的悬臂梁。 研究了以下效应: 应力刚化 尺寸变化 约束效应 温度相关的杨氏模量 结果表明 ... 扩展阅读
