“案例下载”页面提供丰富的 COMSOL Multiphysics® 教学案例和 App 演示文件,涉及电气、结构、声学、流体、传热和化工等各个学科领域。欢迎下载这些教学案例或 App 演示文件及其随附的操作说明,将其作为您建模仿真工作的绝佳起点。
您可以使用左侧的【快速搜索】工具查找与您的专业领域相关的案例模型和仿真 App。请注意,此处提供的许多案例也可以通过 COMSOL Multiphysics® 软件内置的“案例库”进行访问,该选项位于软件的文件 菜单中。
中文 带有此标签的案例包含中文 PDF 文档。
COMSOL Multiphysics“案例库”中的示例“对角安装的通信桅杆的刚度分析”介绍了如何修改三维 CAD 模型来提高其性能。其中对设计方案进行的修正完全基于分析人员对类似结构的经验 ... 扩展阅读
本例分析具有 11 个自由度的车辆悬挂系统的集总模型。集总机械系统 接口的质量、弹簧 和阻尼器 节点用于对车轮(包括悬挂系统以及坐有乘客的座椅)建模。在多体动力学 接口中,具有三个自由度的车身被模拟为刚体。集总机械系统 ... 扩展阅读
本教程探讨了在使用蛇形流场模式时,低温 PEMFC 中的电流分布。 电池在逆流模式下运行,以使氧和氢的入口流位于相对的两侧。 本例采用相对干燥的入口气体成分,以使电池依靠自加湿来实现良好的性能。 扩展阅读
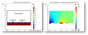
此示例展示了如何对二次电流分布和几何结构发生变化的电极生长进行建模。为了避免数值不稳定性,在初始几何结构中引入了种子层,使生长电极与绝缘体之间的边缘呈直角。 扩展阅读
液体动压轴承中的交叉耦合力通常在转子中起负阻尼作用,当接近临界速度时,这可能导致涡轮增压器的振动失控,造成轴承故障的风险。本例分析交叉耦合力对转子动力学的影响,还研究如何减少振动。 扩展阅读
本例通过对钢支架运行一系列不确定性量化研究,演示如何使用“不确定性量化模块”。 这种类型的支架可用于将执行器安装在支架臂上两个孔之间的销上,设计目标是执行器的水平偏差不应太大。 本例提供两个版本。一个版本更真实 ... 扩展阅读
本教学案例介绍了如何使用“表面对表面辐射”接口来模拟在漫反射发射器与漫反射镜面反射器之间的辐射传热。此模型分为两部分,第一部分为根据射线发射算法计算的辐射热通量的验证测试,其中将结果与两个平行板在恒温下的解析解进行比较 ... 扩展阅读
